Sub center of health design drawing
Description
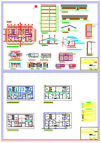
This is a Sub center of health design drawing with electrical layout, hydraulic layout, sanitary layout ,proposed layout design,roof trust design drawing,door detail drawing with elevation and section drawing in this auto cad file.
Uploaded by:
zalak
prajapati

