House plan 2D cad drawing is given in this cad file for architects
Description
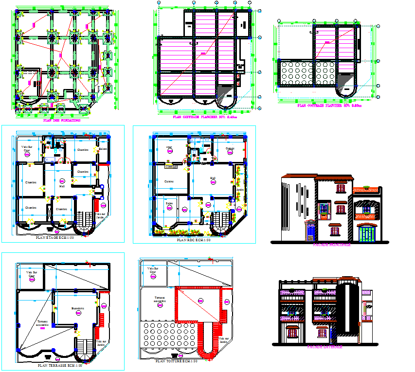
This house plan 2D cad drawing provides a detailed architectural layout showcasing foundation plans, floor plans, terrace layout, and front elevations. Each section of this drawing demonstrates structural clarity and proportion accuracy, making it perfect for architectural visualization and design presentations. The DWG file includes carefully defined layers and dimensions, helping professionals plan residential buildings with precision and ease.
In this 2D house plan cad file, every drawing is designed with attention to spatial flow and functional arrangement. From the footing structure to the terrace and elevation views, it reflects a modern residential design approach suitable for small to medium-sized houses. Architects, civil engineers, and interior planners can use this drawing to enhance project quality, ensure accuracy, and create realistic design concepts. The detailed house elevation adds visual appeal, making it ideal for presentation boards or architectural portfolios.

Uploaded by:
Wang
Fang

