Corporate House CAD Drawing with Floor Plan and Interior Details
Description
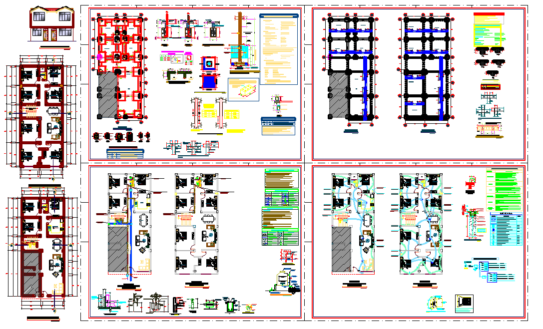
This corporate house CAD drawing provides a comprehensive 2D representation of an office building layout with architectural precision and clarity. The design includes detailed floor plans, electrical layouts, column and beam placements, and interior arrangements suited for professional workspace planning. It focuses on creating a functional yet elegant corporate environment that enhances workflow and aesthetic appeal.
The CAD file showcases multiple levels of the corporate structure, featuring meeting areas, workstations, lobbies, and service zones carefully arranged to maximize space utilization. Structural components like beams, foundations, and mechanical details are clearly illustrated to support architectural and engineering coordination.
Ideal for architects, designers, and civil engineers, this drawing serves as a valuable reference for developing or modifying modern corporate building projects. Its clean representation of technical details helps professionals visualize both spatial organization and structural integrity, ensuring high design standards and operational efficiency.

Uploaded by:
Jafania
Waxy

