Beach House

Beach House
Profile

Uploaded by:

Eiz

Luna

Description
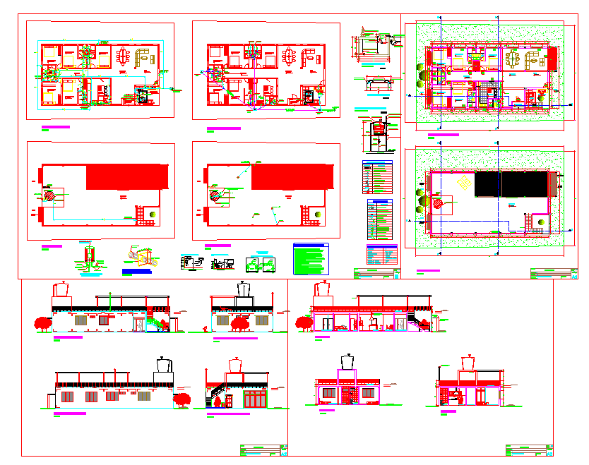
Beach House dwg file, Layout plan, section plan, elevation design, roof plan, foundation plan, stair detail, girl detail, construction plan and 1. WATER LINES WILL BE PLASTIC PVC - C 10. 2. BE GATE VALVES BRASS WITH UNIONS           THREADED; BE INSTALLED IN WALL BETWEEN TWO NICHES           UNIVERSAL JOINTS. 3. PIPE SE tested before burying AND / OR           EMPOTRARLAS USING A HAND PUMP HAVING TO           SUPPORT 100 lb / in2 PRESSURE FOR 15 MINUTES           INTERNAL NETWORK AND 30 MINUTES OARA WITHOUT EXTERNAL NETWORKS           FILE LOST y7o WATER LEAKS. 4. RED EXTERIOR PIPES WILL DRAIN PVC -           SAP, TANG WITH UNIONS AND BELL FLOORING INSTALLED ON           CONCRETE 1:10. 5. RECORD BOXES Deran MASONRY ENLUCIDOS           INTERNALLY WITH MORTAR 1: 1 FRAME AND COVER           CAST IRON OR STANDARD. 6. RECORDS WILL COVER WITH BRASS THREADED           HERMETICA. 7. PIPES AND ACCESSORIES FOR VENTILATION SHOULD BE           LIGHTWEIGHT PLASTIC PVC - SAL. 8. DRAIN PIPE be tested before covering,           PIPES TO BE BUILT IN FLAT AND / OR WALL LLLENANDO           THESE WATER AFTER tamponade OUTPUTS           LOW OF EACH SECTION, HAVING TO STAY FULL           24 HOURS FOR INTERNAL NETWORK AND 30 MINUTES TO           EXTERNAL NETWORKS, PERIODS IN WHICH MUST NOT           SUBMIT ANY LEAKS
Profile

Uploaded by:

Eiz

Luna

find Latest

Related Files

WhatsApp Chat