Single family house DWG with floor layouts sections and elevations
Description
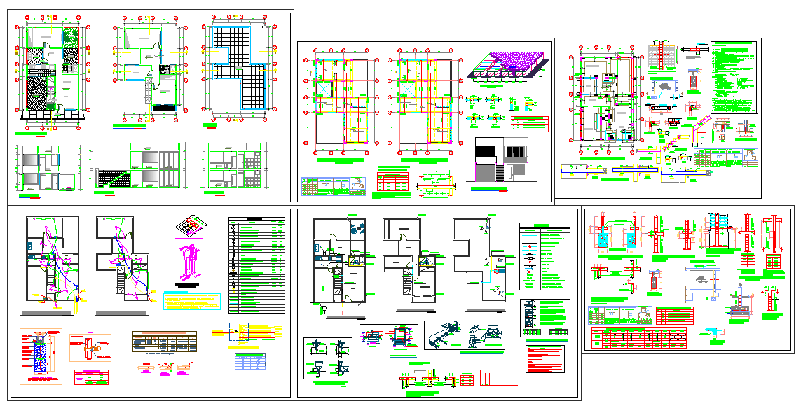
This single family house DWG file presents a complete architectural package including partition layout plans, furniture arrangements, structural drawings and accurate site measurements. The plan shows room distributions such as bedrooms, living room, dining area, kitchen and service areas, each marked with wall dimensions, circulation paths and furniture placement. Multiple floor variations are included, showing beam grids, slab levels, column positions and door window details. Additional drawings provide plumbing lines, electrical routes, drainage positions and ventilation duct arrangements, all shown with matching color codes to simplify reading and construction execution.
The project also contains elevation drawings illustrating façade proportions, window heights, roof structure and external finish references. Sectional views cut through the building reveal slab thickness, stair risers, landing dimensions and vertical alignment between floors. Structural reinforcement details, footing sizes and concrete beam specifications are included for accurate technical coordination. The DWG file also features material legends, schedule tables, construction notes, joinery drawings and utility system layouts to support architects, civil engineers and interior designers during execution and documentation. This complete AutoCAD drawing package is ideal for single dwelling house design, renovation planning, working drawings, technical approvals and interior development.

Uploaded by:
Harriet
Burrows

